强化学习系列(下):贝尔曼方程
2018年05月30日 由 yining 发表
234015
0
在本文中,我们将学习贝尔曼方程和价值函数。
回报和返还(return)
正如前面所讨论的,强化学习agent如何最大化累积未来的回报。用于描述累积未来回报的词是返还,通常用R表示。我们还使用一个下标t来表示某个时间步长的返还。在数学符号中,它是这样的:

如果我们让这个级数趋于无穷,那么我们最终会得到无限的返还,这对于问题的定义并没有太大意义。因此,只有在我们期望返还的级数终止时,这个方程才有意义。我们将这种总是终止的任务称为“插曲式”(episodic)。纸牌游戏是解释“插曲式”问题的好例子。“插曲”开始于对每个人发牌,并且不可避免地会随着游戏规则的不同而结束。然后,下一“插曲”又开始了另一回合的游戏。
相比使用未来的累积回报作为返还,更常见的是使用未来的累积折现回报(cumulative discounted reward):

其中0<γ<1。以这种方式定义返还的两个好处是,返还在无穷级数中得到了很好的定义,而且它把更大的权重给了更早的回报,这意味着我们更关心即将得到的回报,而不是将来会得到更多的回报。我们为γ选择的值越小就越正确。这种情况在我们让γ等于0或1时就可以看到。如果γ等于1,这个方程就变成了对所有的回报都同样的关心,无论在什么时候。另一方面,当γ等于0时,我们只关心眼前的回报,而不关心以后的回报。这将导致我们的算法极其短视。它将学会采取目前最好的行动,但不会考虑行动对未来的影响。
策略
一个策略,写成π(s, a),描述了一种行动方式。它是一个函数,能够采取一个状态和一个行动,并返回在那个状态下采取这个行动的概率。因此,对于一个给定的状态,即

必须是真实的。在下面的例子中,当我们“饥饿”的时候,我们可以在两种行为之间做出选择,要么“吃”,要么“不吃”。

我们的策略应该描述如何在每个状态中采取行动,所以一个等概率的随机策略看起来就像

,在这里

(Eat)是行为“吃”,而

(Don’t Eat)是“不吃”。这意味着,如果你处于“饥饿”状态,选择“吃”和“不吃”的概率是相等的。
我们在强化学习中的目标是学习一种最优策略,定义为

。最优策略告诉我们如何采取行动来最大化每个状态的返还。因为这是一个很简单的例子,所以很容易看出,在这种情况下,最优策略是在“饥饿”时总是“吃”,那么就是

。在这个实例中,对于许多马尔可夫决策来说,最优策略是确定的。每个状态都有一个最优的行动。有时这被写成

,它是从状态到这些状态中的最优行动的映射。
价值函数
为了学习最优策略,我们利用了价值函数。在强化学习中有两种类型的价值函数:状态值函数(state value function),用V(s)表示,和行动值函数,用Q(s,a)表示。
状态值函数在遵循策略时描述一个状态的值。当从状态的行为以我们的策略π开始时,这就是预期的返还。

需要注意的是,即使在相同的环境中,价值函数也会根据策略发生变化。这是因为状态的价值取决于你的行动,因为你在那个特定的状态下的行动会影响你期望看到的回报。同时还要注意期望的重要性。期望(expectation)就像一个平均值;它就是你期望看到的返还。我们使用期望的原因是当你到达一个状态后会发生一些随机事件。你可能有一个随机的策略,这意味着我们需要把我们采取的所有不同行动的结果结合起来。此外,转换函数(transition function)可以是随机的,也就是说,我们可能不会以100%的概率结束任何状态。请记住上面的例子:当你选择一个行动时,环境将返回下一个状态。即使给出一个行动,也可能会有多个状态返还。当我们看贝尔曼方程时,会看到更多这样的情况。期望将所有这些随机因素考虑在内。
我们将使用的另一个价值函数是行动值函数。行动值函数告诉我们当跟随某个策略时,在某些状态下执行某个行动的值。给出状态和在π下的行动,这是期望的返还:
对状态值函数的注释同样适用于行动值函数。根据该策略,期望将考虑未来行动的随机性,以及来自环境的返还状态的随机性。
贝尔曼方程
理查德·贝尔曼推导出了以下公式,让我们可以开始解决这些马尔可夫决策问题。贝尔曼方程在强化学习中无处不在,对于理解强化算法的工作原理是非常必要的。但在我们了解贝尔曼方程之前,我们需要一个更有用的符号,定义为

和

,如下所示:

是过渡概率。如果我们从状态s开始,然后采取行动a,我们就会得到状态
和概率
。


是另一种写为期望(或平均)回报的方式,我们从状态s开始,采取行动a,然后移动到状态

。
最后,有了这些条件,我们就可以推导出贝尔曼方程了。我们将考虑贝尔曼方程的状态值函数。根据返还的定义,我们可以重写方程(1),如下所示:

如果我们从求和中得到第一个回报,我们可以这样重写它:

这里的期望描述的是,如果我们继续遵循策略π的状态s,我们期望返还的是什么。通过对所有可能的行动和所有可能的返还状态的求和,可以明确地编写为期望。下面的两个方程可以帮助我们完成下一个步骤。

通过在这两个部分之间分配期望,我们就可以把我们的方程转化成:

注意,方程(1)与这个方程的末尾形式相同。我们可以替换它,得到:

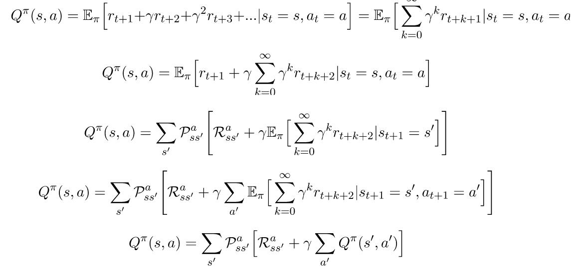
贝尔曼方程的行动值函数可以以类似的方式进行推导。本文结尾有具体过程,其结果如下:

贝尔曼方程的重要性在于,它们让我们表达了其它状态的价值。这意味着,如果我们知道

的值,我们可以很容易地计算出

的值。这为计算每个状态值的迭代方法打开了大门,因为如果我们知道下一个状态的值,我们就可以知道当前状态的值。最重要的事情是我们需要记住一些编号方程。最后,在贝尔曼方程中,我们可以开始研究如何计算最优策略,并编码我们的第一个强化学习agent。
在我们推导出贝尔曼方程的过程中,我们得到了这一系列的方程,从方程(2)开始: